Предмет: Алгебра,
автор: katya561105
СРОЧНО АЛГЕБРА....Пожалуйста
Приложения:
Ответы
Автор ответа:
5
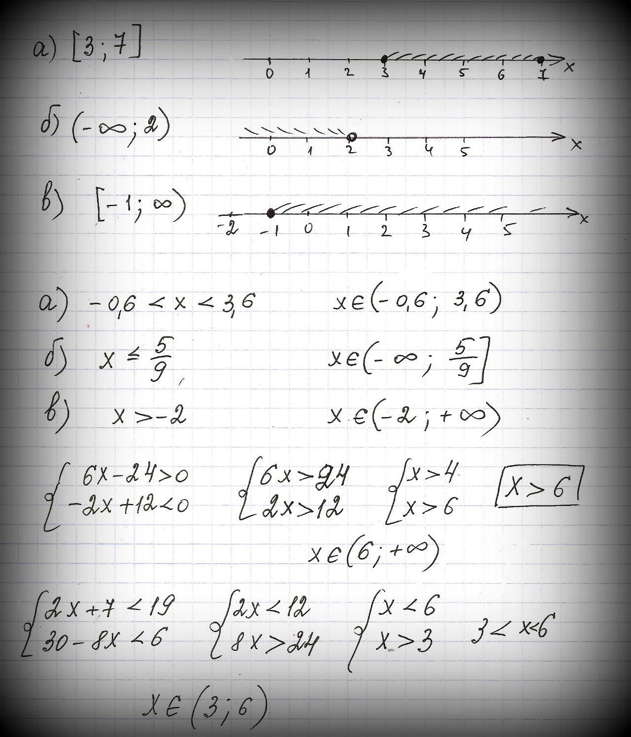
Ответ:
Объяснение:
===================================================
Приложения:
kolyagur1966:
Спасибо вам большое
можите помочь с алгебры пожалуйстаа
https://znanija.com/task/33154597
прошу вас
Автор ответа:
2
Ответ: во вложении Объяснение:
Приложения:
Похожие вопросы
Предмет: История,
автор: Аноним
Предмет: Русский язык,
автор: cohope8397
Предмет: География,
автор: vanadecev246
Предмет: Биология,
автор: sophya888
Предмет: Математика,
автор: danil2006youtube