Предмет: Математика,
автор: Турбокрут5
Помогите с Алгеброй! Заранее спасибо.
Приложения:
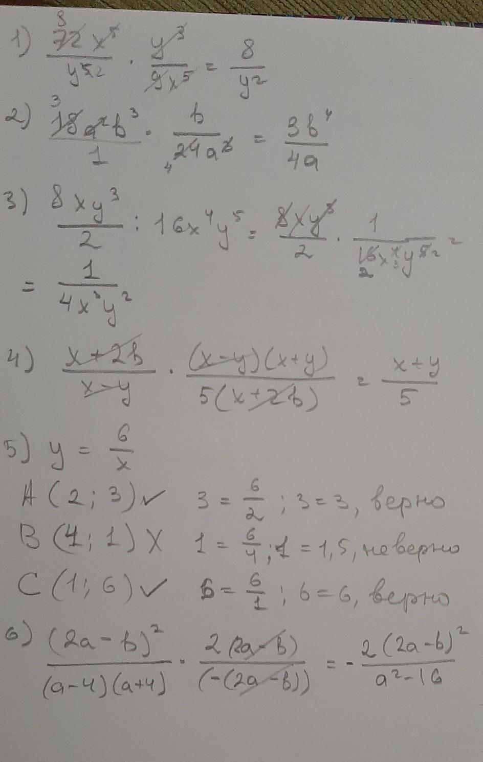
Ответы
Автор ответа:
0
Вроде так, но это не точно
Приложения:
Автор ответа:
1
Ответ:
вот всё
Пошаговое объяснение:
....................
Приложения:
Похожие вопросы
Предмет: Математика,
автор: kirillledovskij6
Предмет: География,
автор: Demboy
Предмет: Математика,
автор: ulanamakarceva653
Предмет: Физика,
автор: Dfrhfg
Предмет: История,
автор: ViktoriaCat2005