Предмет: Алгебра,
автор: gfdhdjih
Помогите, пожалуйста! Срочно!
Приложения:
Ответы
Автор ответа:
0
Ответ:
Объяснение:
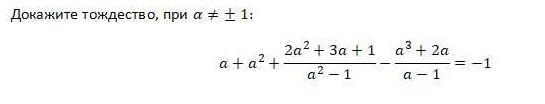
a+a² +(2a²+3a+1)/(a²-1) -(a³+2a)/(a-1)=-1
(a(1+a)(a-1)+2a²+3a+1-(a³+2a)(a+1))/((a-1)(a+1))=-1
(a³-a+2a²+3a+1-a⁴-a³-2a²-2a)/(a²-1)=-1
(1-a²)(1+a²)/(a²-1)=-1
-(a²-1)(1+a²)/(a²-1)=-1
1+a²=1
a²=0
a=0
Похожие вопросы
Предмет: Литература,
автор: Аноним
Предмет: Физика,
автор: veronikaelysenko
Предмет: Литература,
автор: laguskakvakuska82
Предмет: География,
автор: Аноним