Предмет: Алгебра, автор: Аноним

Розкладіть на множники многочлен
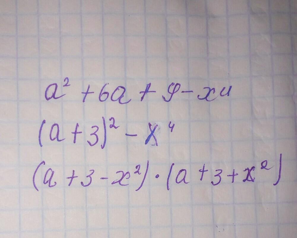
a²+6a+9-x⁴

Ответы

Автор ответа: cvsvsh
5

Ответ:

a {}^{2}  + 6a + 9 - x {}^{4}  = (a + 3) {}^{2}  - x {}^{4}  = (a + 3 - x {}^{2} )(a + 3  +  x {}^{2} )

Автор ответа: tatanalapaeva02
1

..................................

Приложения:
Похожие вопросы
Предмет: Литература, автор: valeria1465
Предмет: Математика, автор: виня3