Предмет: Алгебра,
автор: basta0176
50 баллов!!! Хелп!!!!
Приложения:
Ответы
Автор ответа:
0
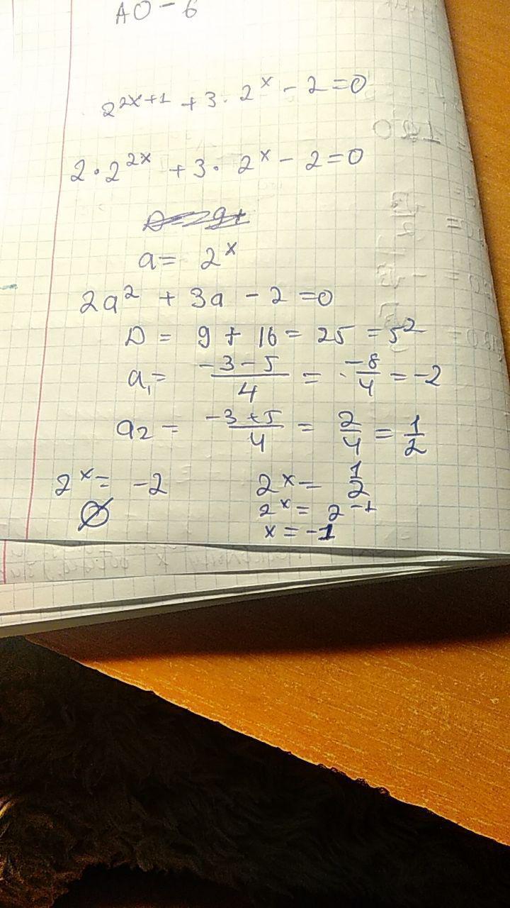
Ответ: х = -1
Объяснение:
Приложения:
Похожие вопросы
Предмет: Математика,
автор: zxcMikrob
Предмет: Русский язык,
автор: lidjigorjaeva
Предмет: Алгебра,
автор: Vladimir2286
Предмет: Биология,
автор: Йцукенгшщзх124
Предмет: Биология,
автор: 0тличница8