Предмет: Алгебра, автор: choppednightmare

Пожалуйста срочно надо.
найдите:
а) разность арифметической прогрессии , если a1 = 2 ; a11=-5
б) знаменатель геометрической прогрессии, если b6=25 ; b8=9​

Ответы

Автор ответа: gajimuradovramzan
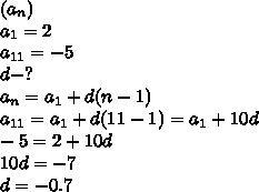
1

Ответ:

на картинке это А

ВОТ Б

b[7]=b[6]q

b[8]=b[7]q=b[6]q^2

 

9=25q^2

q^2=9/25

q=3/5 или q=-3/5  

q=0.6 или q=-0.6

Приложения:

choppednightmare: спасибо большое
gajimuradovramzan: Пожалуйста, если что обращайся
Похожие вопросы
Предмет: Английский язык, автор: beksultanzandos03
Предмет: Алгебра, автор: ymryv19
Предмет: Физика, автор: haleron
Предмет: Литература, автор: яхорошиймальчик