Предмет: Алгебра, автор: Василекмахал

Вычислите интеграл. Пожалуйста очень надо!

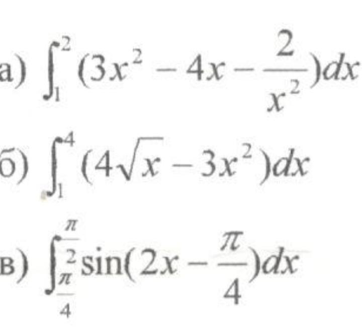
Приложения:

Ответы

Автор ответа: dia0077
0

если не понимаешь то пиши это сразу ответы Ю

Приложения:
Похожие вопросы
Предмет: География, автор: mariagrebenuk924
1. К новейшим отраслям мировой промышленности, возникшим в эпоху НТР, относится: а) топливная промышленность б) пищевая промышленность в) микроэлектроника г) судостроение. 2. Постиндустриальная структура хозяйства характерна для: а) Мексике в) Индии б) Бразилии г) Японии. 3. Добыча природного газа производится: а) в Дании в) в Норвегии б) в Бельгии г) в Финляндии. 4. Наибольшие темпы роста производства наблюдаются: а) в текстильной промышленности в) в электронном машиностроении б) в лесной промышленности г) в угледобывающей промышленности. 5. Перемещение текстильной промышленности из Северо-Востока США на Юг, кроме имеющегося на Юге фактора сырья, объясняется: а) наличием дешевой рабочей силы в) большей степени развитой энергетикой б) более развитой транспортной сетью г) наибольшим потребительским спросом. 6. Растениеводство – отрасль сельского хозяйства: а) в Германии б) в Португалии в) в Швеции г) в Австралии. 7. Молочное животноводство является отраслью международной специализации: а) в Дании в) в Болгарии б) В Испании г) в Турции. 8. Китай, Индия, Пакистан – основные производители: а) сахарного тростника б) кофе в) хлопчатника г) цитрусовых культур. 9. В состав грузов, перевозимых морским транспортом, преобладает доля: а) железной руды б) зерна в) нефти г) угля. 10. Страна, входящая в состав международных объединений ОПЕК и АСЕАН: а) Алжир г) Малайзия б) Иран д) Филиппины. в) Индонезия 11. Выберите три страны, где туризм является отраслью международной специализации. а) Испания г) Вьетнам б) Канада д) Египет в) Таиланд е) Монголия. 12. К числу лидеров по выпуску легковых автомобилей в мире относится: а) Индонезия б) Республика Корея в) Болгария г) Аргентина. 13. Наибольшие посевные площади в мире занимает: а) пшеница б) рожь в) рис г) ячмень д) овес.​