Предмет: Алгебра,
автор: Vadik122
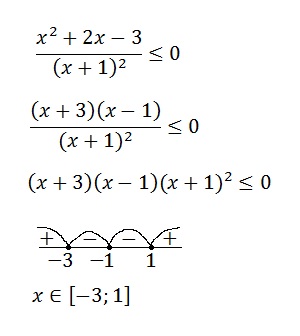
Розв'яжіть нерівність методом інтервалів x^2+2x-3(x+1)^2<(рівне)0
Допоможіть будь ласка!!!!
Ответы
Автор ответа:
0
Прикріпив рішення до цього завдання.
Приложения:
Похожие вопросы
Предмет: Химия,
автор: tanyavasileva88
Предмет: Алгебра,
автор: mdmdjdkdkr
Предмет: Математика,
автор: gagaboymac
Предмет: Геометрия,
автор: safronovaolya98
Предмет: Алгебра,
автор: Lexa2101