Предмет: Математика,
автор: nastya231317
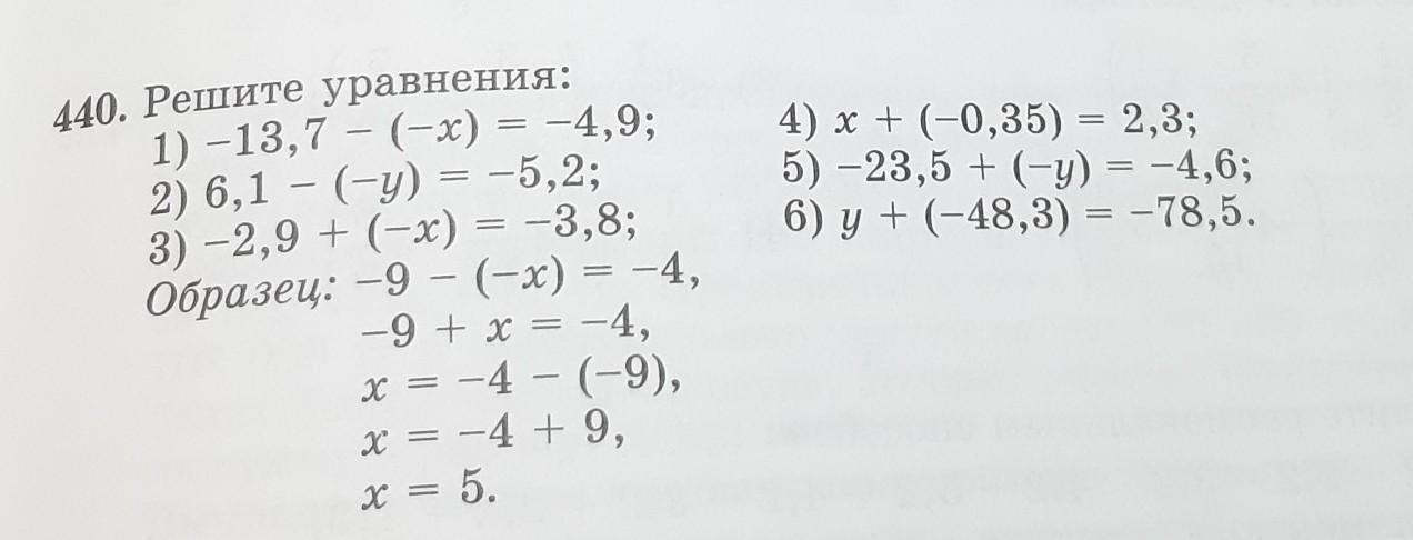
Помогите пожалуйста СРОЧНО:
Приложения:
Ответы
Автор ответа:
1
Решаешь все по образцу
Приложения:
nastya231317:
Спасибо большое
Похожие вопросы
Предмет: Геометрия,
автор: kardabensik
Предмет: Биология,
автор: haruka224
Предмет: Алгебра,
автор: maria2185
Предмет: Математика,
автор: аааа310
Предмет: Математика,
автор: BLADUSV