Предмет: Математика,
автор: k0aaj
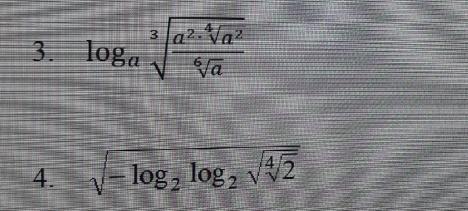
Вычислите без калькулятора значения выражения (ПОДРОБНО РАСПИСЫВАЯ)
Заранее спасибо
Приложения:
Ответы
Автор ответа:
2
Ответ:
Пошаговое объяснение:
==============================
Приложения:
ahja92:
помогите пожалуйста по математике
Похожие вопросы
Предмет: Обществознание,
автор: VietnamWar
Предмет: География,
автор: banduraa675
Предмет: Алгебра,
автор: kohanovska2007
Предмет: История,
автор: УмныйПирожок
Предмет: Математика,
автор: НюРоЧкА1