Предмет: Математика,
автор: Аноним
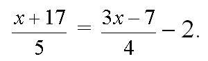
Господи ребята, помгите пж!!!! Дам 30 баллов
Приложения:
Ответы
Автор ответа:
1
Ответ:
Удачи в математике!
Приложения:
Похожие вопросы
Предмет: Биология,
автор: Аноним
Предмет: Литература,
автор: ponomarevkirill815
Предмет: Алгебра,
автор: iriskairinkaua
Предмет: Математика,
автор: таня1460
Предмет: Математика,
автор: innamoxrova