Предмет: Геометрия,
автор: mariana9639320
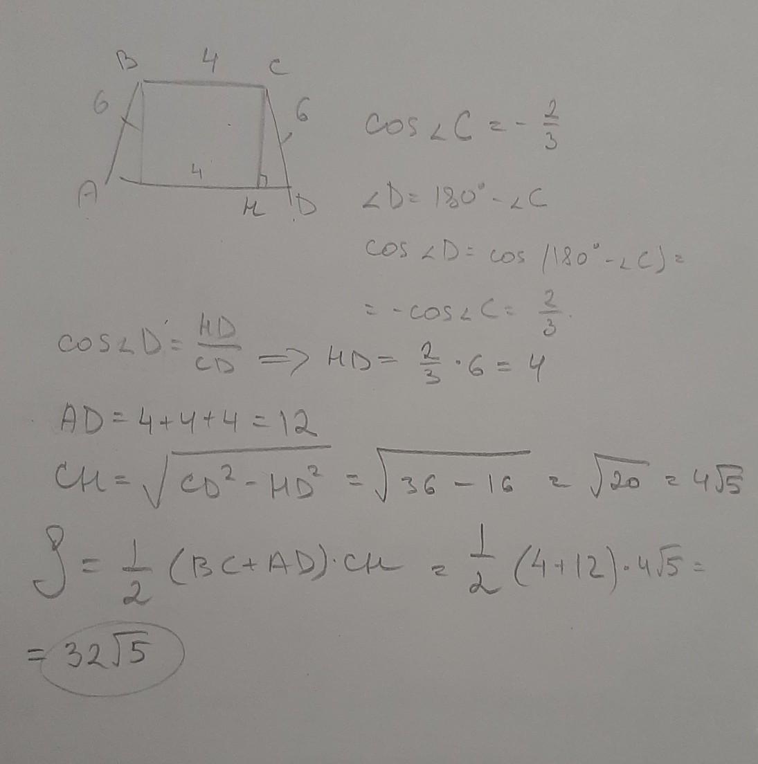
в трапеции АБСД меньшее основание ВС равно 4, АВ=СД =6. кос С= -2\3
найти площадь
Ответы
Автор ответа:
2
Ответ:
..............................
Приложения:
Похожие вопросы
Предмет: Алгебра,
автор: niushniush
Предмет: Английский язык,
автор: jjmin
Предмет: Алгебра,
автор: vivitpipupi
Предмет: Алгебра,
автор: saymon1337
Предмет: Математика,
автор: alexs15den