Предмет: Математика,
автор: islom715
помогите пожалуйста
Приложения:
Ответы
Автор ответа:
1
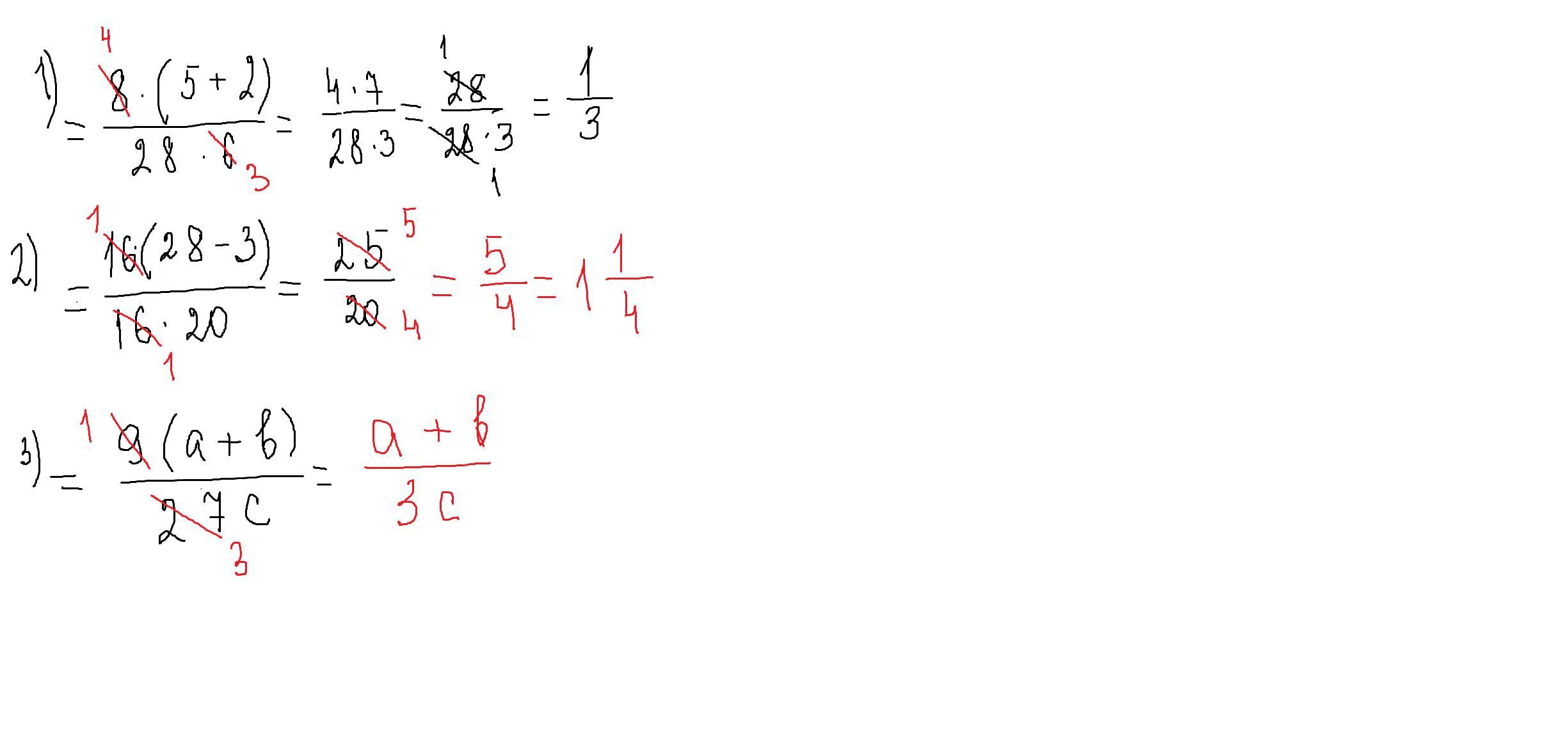
Ответ:
Пошаговое объяснение:
вынесем общий множитель за скобки и сократим
Приложения:
Похожие вопросы
Предмет: Литература,
автор: Аноним
Предмет: Химия,
автор: artembojcev566
Предмет: Математика,
автор: sofiamihajlecko6
Предмет: Алгебра,
автор: harlanovais