Предмет: Геометрия,
автор: Nikalferov
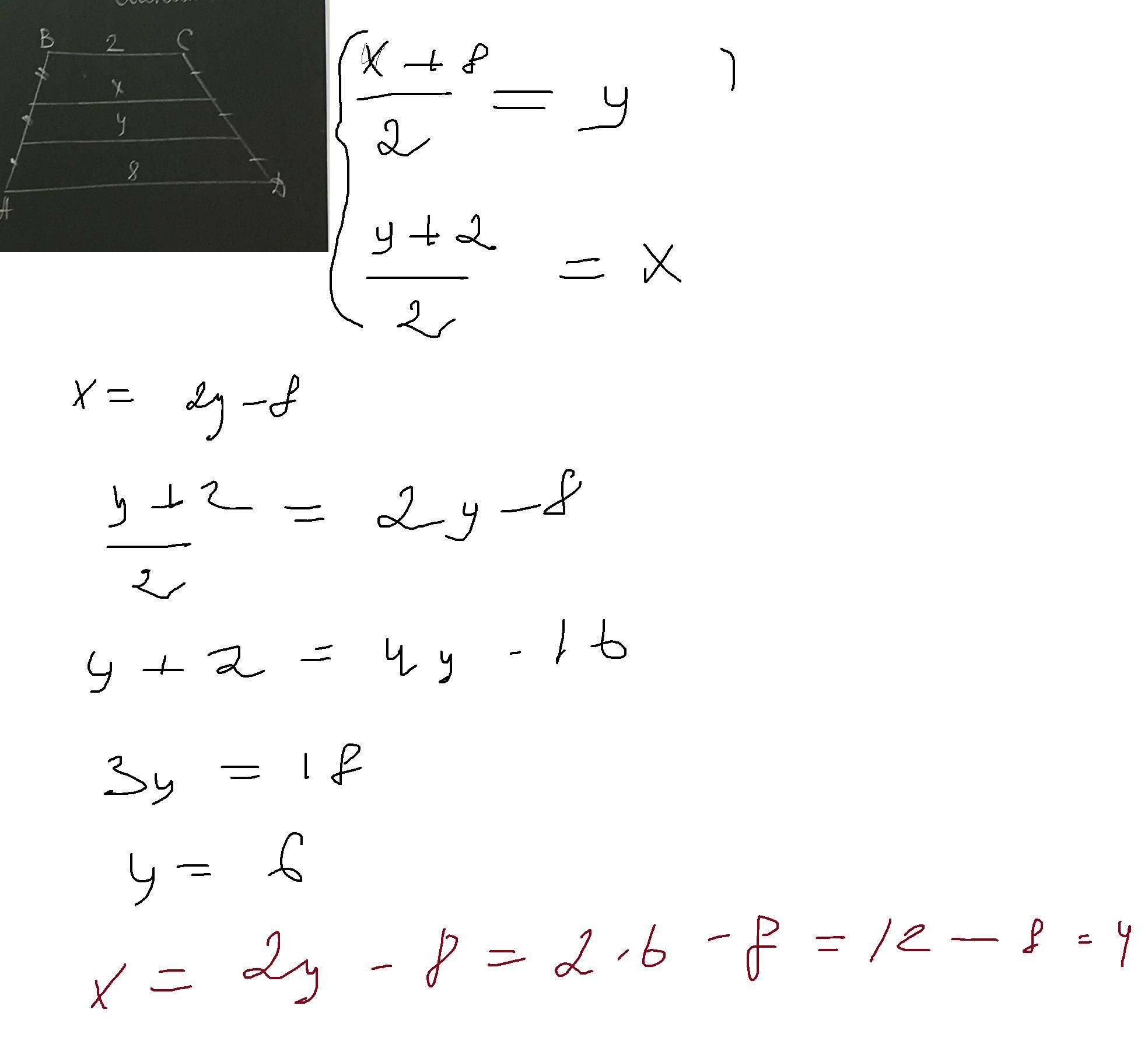
Помогите решить задачу на фото.
Приложения:
Ответы
Автор ответа:
0
Ответ:
Объяснение:
Помогите решить задачу на фото.
Приложения:
Похожие вопросы
Предмет: Українська література,
автор: Kyrylka
Предмет: Математика,
автор: andreevas450
Предмет: Математика,
автор: nikaklova
Предмет: Математика,
автор: 031209
Предмет: Математика,
автор: anna8310