Предмет: Математика,
автор: sabinasazykina16
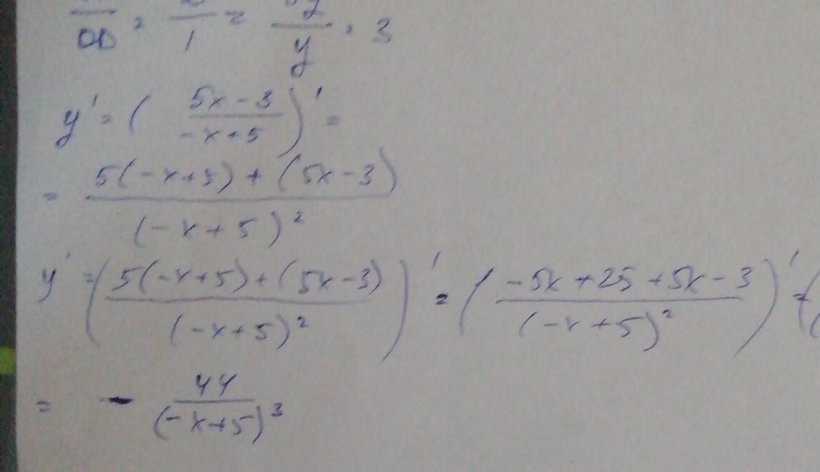
найдите производную 2 порядка для функции y =5x-3/-x+5
Ответы
Автор ответа:
1
.................
Ответ:
-44/(-x+5)^3
Приложения:
Похожие вопросы
Предмет: Математика,
автор: vilgelmoksana8
Предмет: Математика,
автор: asvituk79
Предмет: Қазақ тiлi,
автор: baizakovag84
Предмет: История,
автор: влад1536
Предмет: Литература,
автор: AnanasMasus