Предмет: Геометрия,
автор: Kebcp
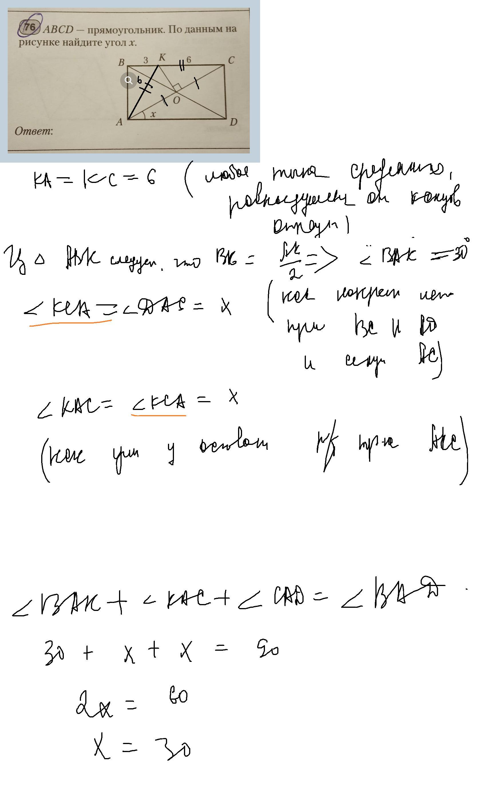
Помогите пожалуйста решить
Приложения:
Ответы
Автор ответа:
1
Ответ:Помогите пожалуйста решит
Объяснение:
Приложения:
Похожие вопросы
Предмет: Музыка,
автор: milanleg2011
Предмет: Русский язык,
автор: sdfsfdfsdfs
Предмет: Алгебра,
автор: bujnickaanatasa
Предмет: Математика,
автор: cvet2005
Предмет: Химия,
автор: linabelka02