Предмет: Алгебра,
автор: TALGAT5678123
Решить первые два уравнения, задачу не надо:)
Приложения:
Ответы
Автор ответа:
2
Объяснение:
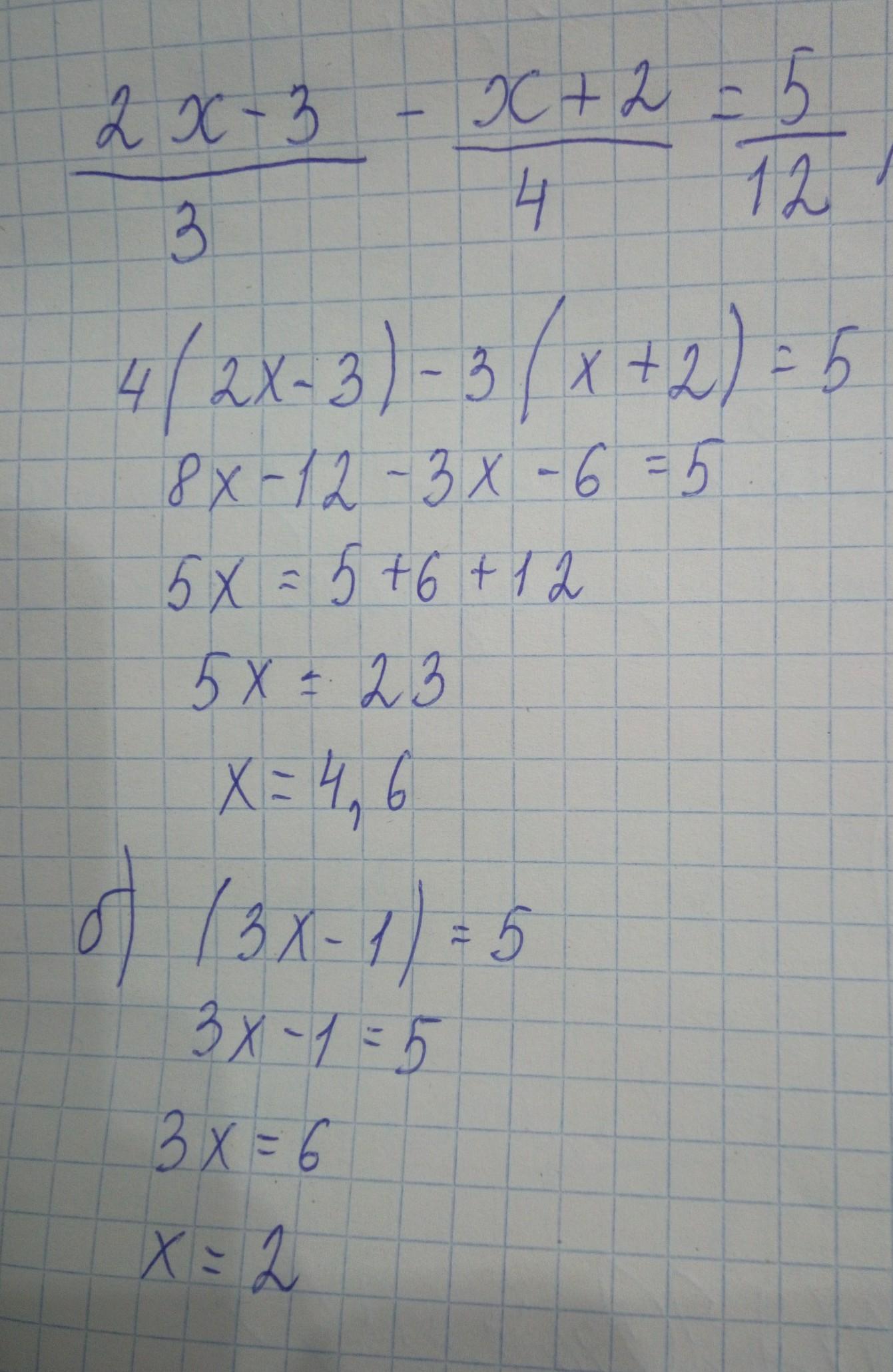
Решение на фото..........
Приложения:
olivialaletina13:
нет, просто пиши так как на фото. под буквой б у x 2 значения
Спасибо
А хотите ещё баллы?
Мне надо ещё решить задания с графиком
За 25 баллов согласны 4 задания выполнить?
Там будет с графиком какие-то
смотря какой график
решите мне мнимые числа за 90 баллов
Я сейчас сфоткаю задание, зайдите в профиль и увидите
Зайдите в профиль
Автор ответа:
0
Ответ на фото)
Ответ от Kikoooooooo
Приложения:
Похожие вопросы
Предмет: Алгебра,
автор: liza9182
Предмет: География,
автор: petreykoana
Предмет: Русский язык,
автор: timafejarhipov
Предмет: Физика,
автор: KingVioletta
Предмет: Математика,
автор: Gulnaraumbetov