Предмет: Математика,
автор: ysminadr55
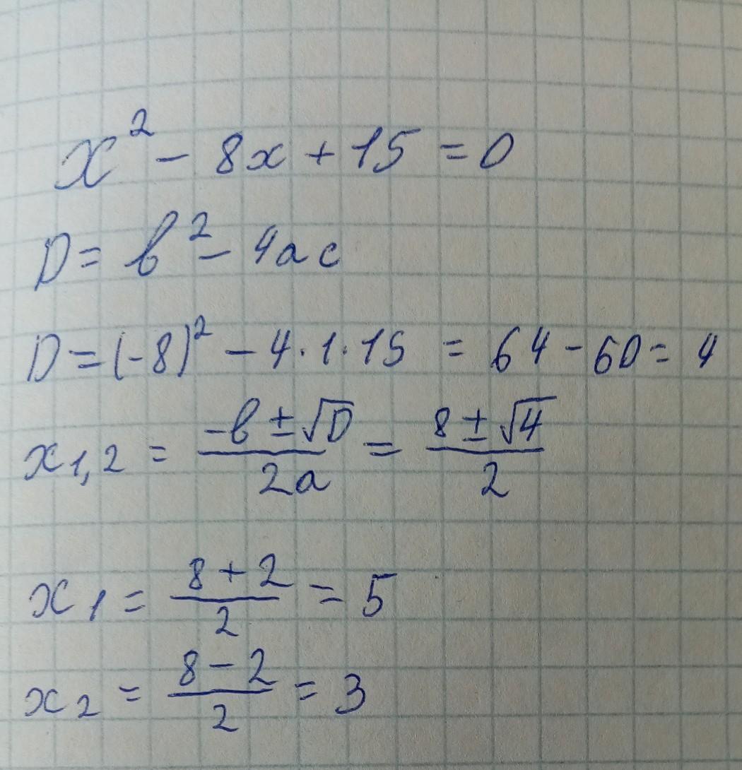
решите уравнение по формуле x^2-8х+15=0
D=b2-4ac.
Ответы
Автор ответа:
3
Пошаговое объяснение:
Это тема очень лёгкая!
Приложения:
Похожие вопросы
Предмет: Окружающий мир,
автор: polakovaola421
Предмет: Биология,
автор: krivcenkovaksenia64
Предмет: Химия,
автор: likeetiktokplankton
Предмет: Физика,
автор: Ромео227
Предмет: Математика,
автор: tatyana120