Предмет: Алгебра,
автор: bertain
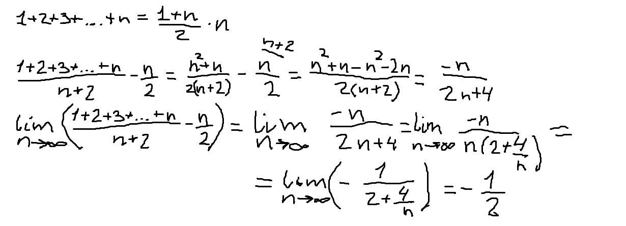
50б + лучший ответ! Найти предел числовой последовательности (подробное решение):
Приложения:
Ответы
Автор ответа:
1
Ответ:
Объяснение:
решение в приложении
Приложения:
Автор ответа:
1
Ответ: во вложении Объяснение:
Приложения:
bertain:
Благодарю! Помогите, пожалуйста, с заданием: https://znanija.com/task/33048037
Похожие вопросы
Предмет: Қазақ тiлi,
автор: saimongame
Предмет: Другие предметы,
автор: Hashirama5464
Предмет: Русский язык,
автор: rahimausurova1
Предмет: Математика,
автор: zarina143