Предмет: Математика,
автор: ТатМих
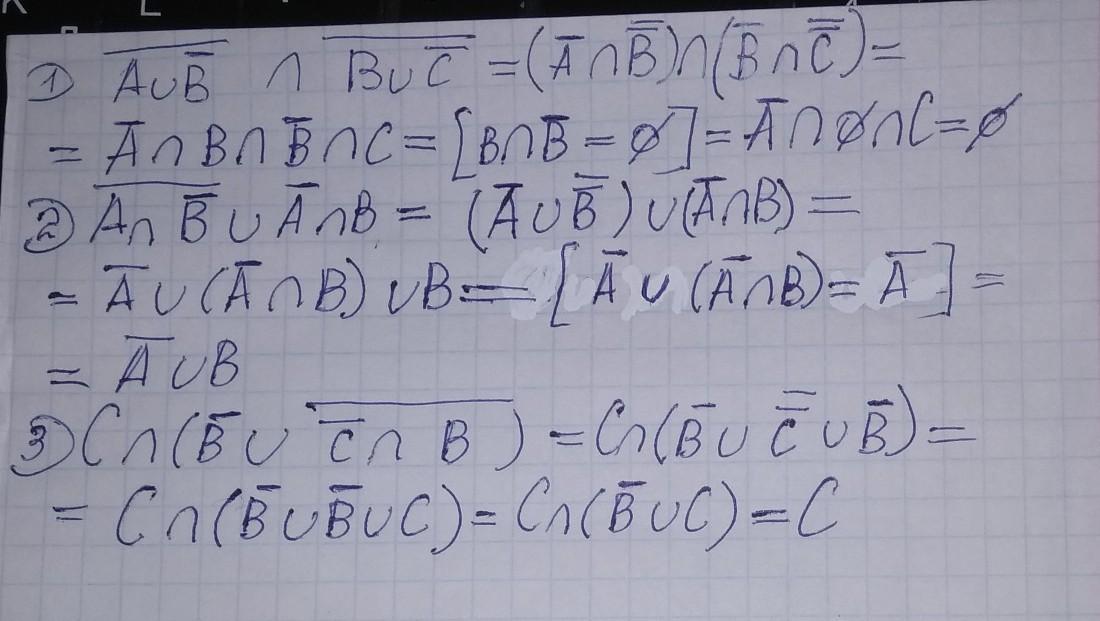
Номер 79.
Нужно проверить своё решение:
(задание по законам де Моргана)
Приложения:
LordStatski:
ну вообще вроде получается не а + не с
Ответы
Автор ответа:
2
Пошаговое объяснение: в приложении
Приложения:
Спасибо огромное!))
Похожие вопросы
Предмет: Английский язык,
автор: David6584
Предмет: Информатика,
автор: vladepifanchev
Предмет: Физика,
автор: prohnovskaaevgenia
Предмет: Физика,
автор: ZU2002
Предмет: Информатика,
автор: егор1008