Предмет: Алгебра,
автор: herobrine144
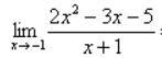
Найти предел функции. Условие в картинке
Приложения:
Ответы
Автор ответа:
0
У меня получилась неопределенность 0/0
Приложения:
herobrine144:
Решить предел значит раскрыть неопределённость
Похожие вопросы
Предмет: Биология,
автор: arinaxabok
Предмет: Математика,
автор: jarochik2010
Предмет: История,
автор: ilonavalieva98
Предмет: История,
автор: 12345678901239874566
Предмет: Математика,
автор: NastyaKyplinova