Предмет: Алгебра,
автор: mrksen5
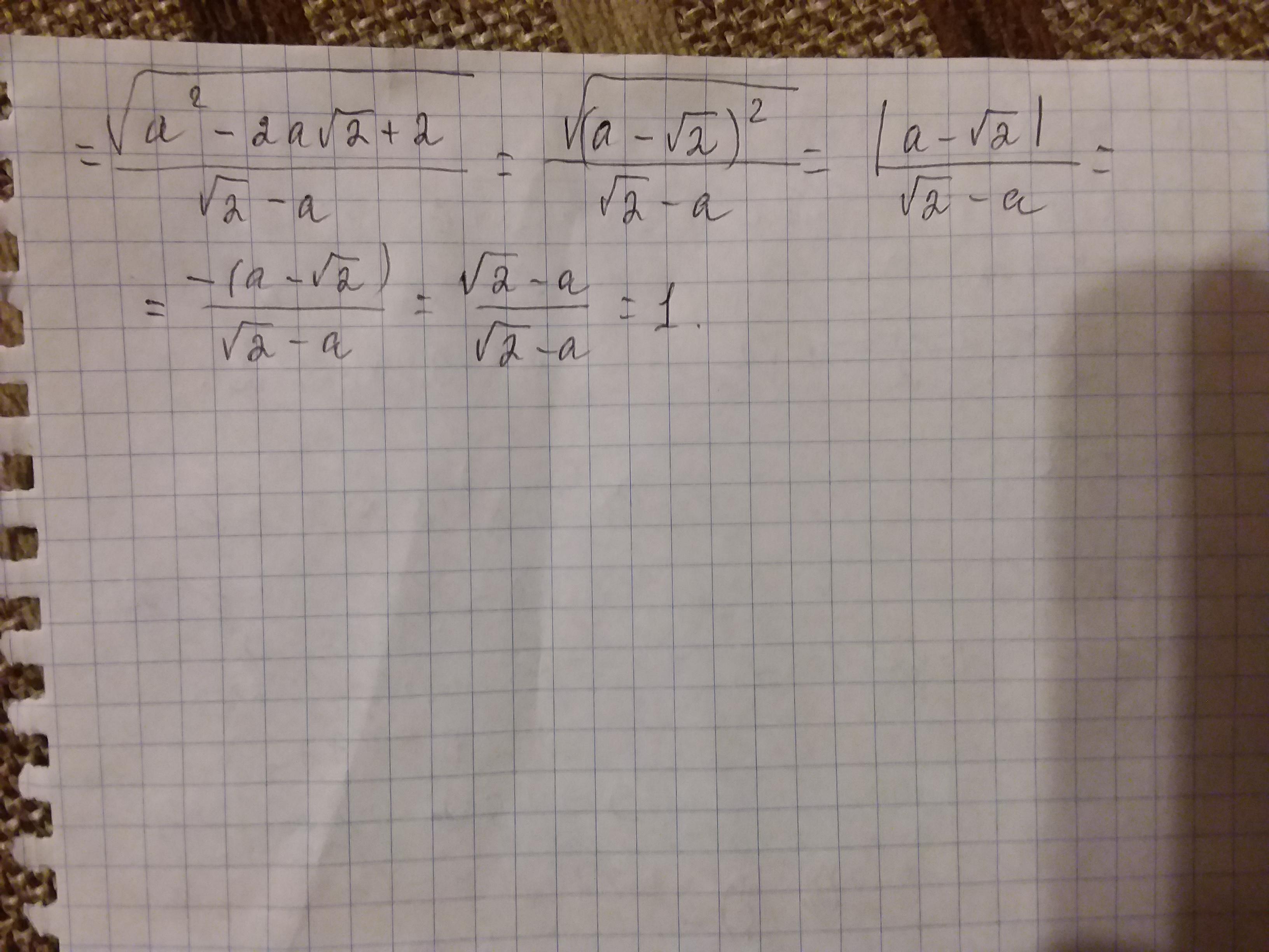
прошу, помогите решить
ответ: 1
Приложения:
Ответы
Автор ответа:
1
I hope this helps you
Приложения:
Автор ответа:
1
...........................
Приложения:
Похожие вопросы
Предмет: Обществознание,
автор: Аноним
Предмет: Қазақ тiлi,
автор: bekabayyes
Предмет: Обществознание,
автор: kajekejjwkdd
Предмет: Математика,
автор: есболат6класс
Предмет: Алгебра,
автор: lex74r