Предмет: Алгебра, автор: бомбит111

Помогите пожалуйста

Приложения:

Ответы

Автор ответа: Kazumichan
1

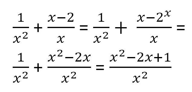
Ответ на картииииинке

Приложения:
Автор ответа: Sana0005
2

Ответ:

 \frac{1}{x {}^{2} }  +  \frac{x - 2}{x}  =  \frac{1 + x \times (x - 2)}{ {x}^{2} }  =   \\  =    \frac{1 +  {x}^{2}  - 2x}{ {x}^{2} }  =  \\  =  \frac{ {x}^{2} - 2x + 1 }{ {x}^{2} }

Похожие вопросы
Предмет: Алгебра, автор: ghtewls73
Предмет: Русский язык, автор: elmazbilialova
Предмет: Биология, автор: temachka1