Предмет: Алгебра,
автор: приветКосмонавтам
решите систему неравенств
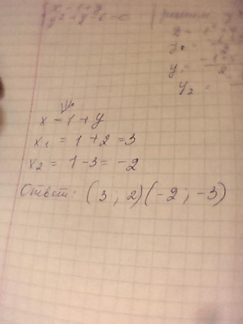
а)под фигурной скобкой : х-у=1 ху=6
б) под фигурной скобкой : х(в квадрате)-3у(в квадрате)=1 х-2у=1
Ответы
Автор ответа:
0
........................................
Приложения:
Автор ответа:
0
только не бросай систему, её бросила случайно.
Автор ответа:
0
я её бросила случайно*
Похожие вопросы
Предмет: Русский язык,
автор: sege2019
Предмет: Алгебра,
автор: topvikki574
Предмет: География,
автор: taniapanichyk
Предмет: Алгебра,
автор: Liliya7
Предмет: География,
автор: Аноним