Предмет: Алгебра,
автор: Kamakkk
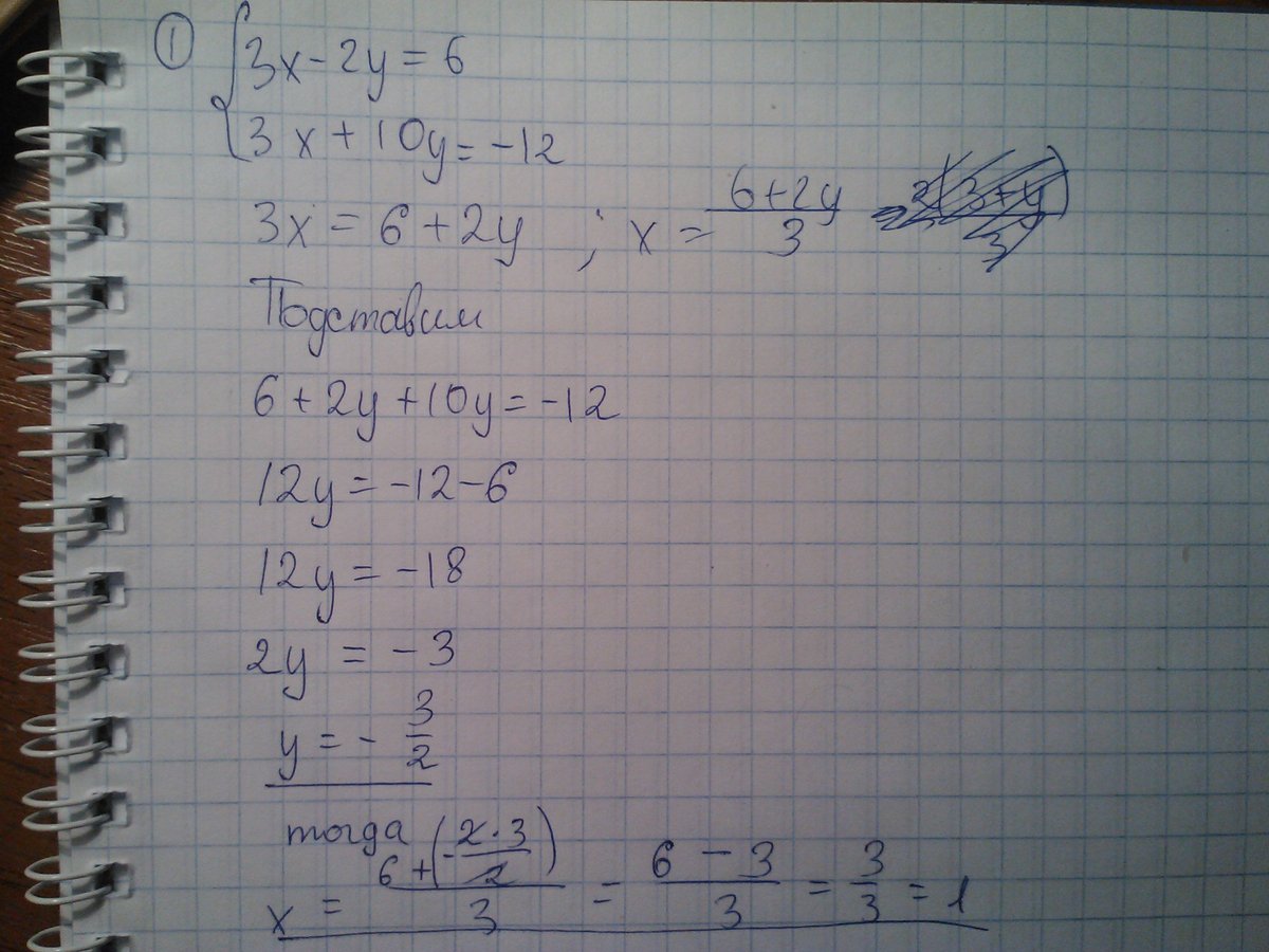
Срочно надо плииз решите- система уравнений преобразовать и построить графиг ну график я сама сделаю вы мне пожалуйста преобразуйте это уравнения и нужно довести до х и у например вот так: х+2у=6 и 3х +2у= -6 и там дальше преобразовывам у=-0,5х+3 х=2;у=2))) х=6;у=0. и потом со вторым тоже у=-15 х-3 у=-1.5х-3 ... х=2;у=-6)))) х=-4;у=3 Вообщем напримере такого: а вот сами примеры что мне надо вот так преобразовать.....3х-2у=6 3х+ 10у=-12 и следущий х-у=0 2х+3у=5
Ответы
Автор ответа:
0
вот решение, смотри фото
Приложения:
Автор ответа:
0
из первого вычитаем второе для того чтобы избавиться от икса
-12y=18
y=-3/2
3x-2*(-3/2)=6
x=1
2)первое уравнение умножаем на 3 и затем складываем
5x=5
x=1
y=1
-12y=18
y=-3/2
3x-2*(-3/2)=6
x=1
2)первое уравнение умножаем на 3 и затем складываем
5x=5
x=1
y=1
Приложения:
Похожие вопросы
Предмет: Українська література,
автор: puzikovani2006
Предмет: Математика,
автор: ceva9112
Предмет: Немецкий язык,
автор: leviakk
Предмет: Химия,
автор: baraash
Предмет: Химия,
автор: 6022665