Предмет: Алгебра,
автор: natalya128zz
Решить уравнение. 3, 4
Приложения:
Ответы
Автор ответа:
1
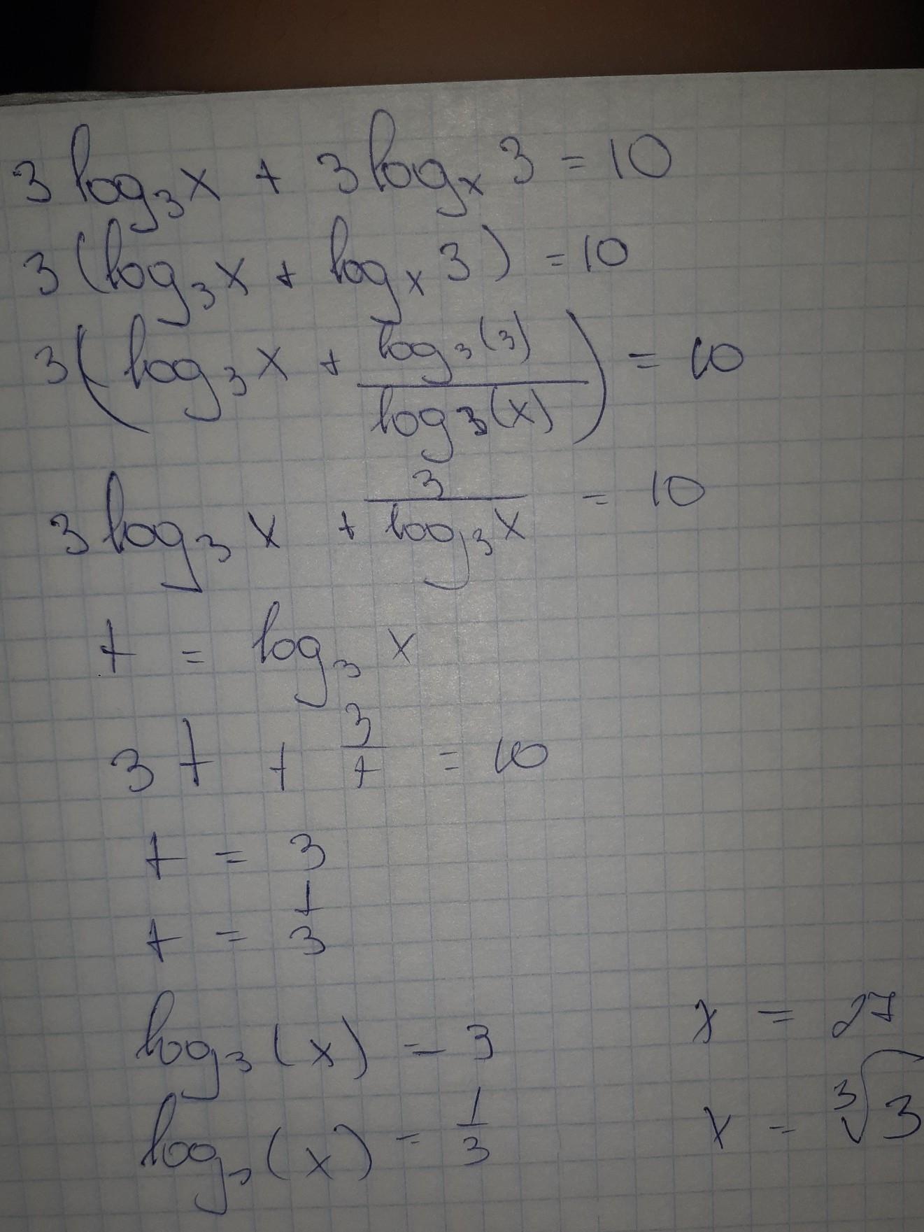
Ответ:
решение 3 уравнения
Приложения:
Похожие вопросы
Предмет: Математика,
автор: pavpol2010
Предмет: Қазақ тiлi,
автор: inabatmiramkyzy
Предмет: Қазақ тiлi,
автор: izatullaevazimbaj
Предмет: Химия,
автор: Anna85951
Предмет: Алгебра,
автор: ANJEEL1