Предмет: Математика,
автор: Божьяпомощь
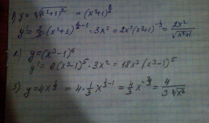
Помогите с 3-мя примерами 11 класса. Производная
Срочно! Заранее спасибо
Приложения:
Ответы
Автор ответа:
1
Ответ: на фото
Пошаговое объяснение:
Приложения:
Божьяпомощь:
Спасибо огромное, теперь я поняла как это решается
я рада, что вы не просто переписали)
Похожие вопросы
Предмет: Алгебра,
автор: cocciicigiiiiiixg
Предмет: Алгебра,
автор: kiicccycyyc
Предмет: Алгебра,
автор: salvadordali2k2
Предмет: Литература,
автор: marzhan1775