Предмет: Алгебра,
автор: dimakots
Ребят помогите без приколов
Приложения:
Ответы
Автор ответа:
0
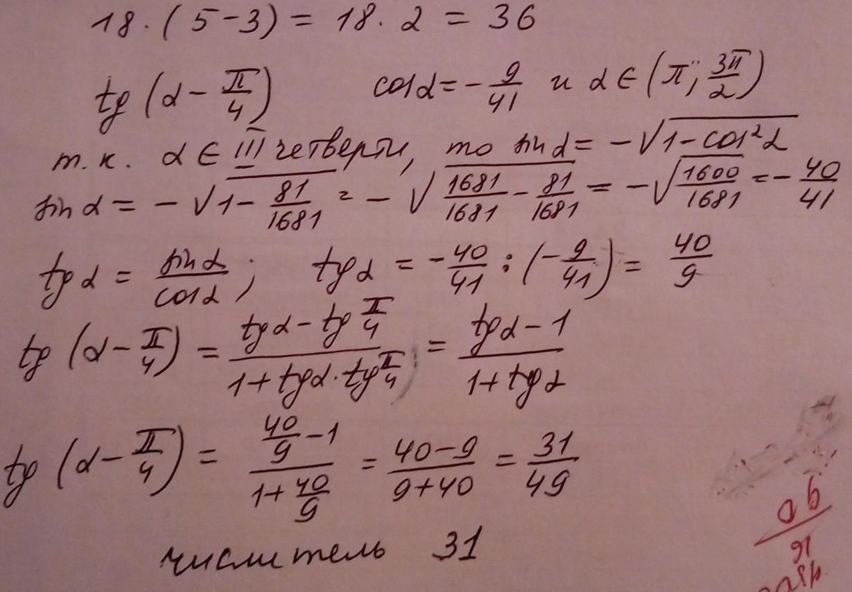
Ответ:
решение представлено на фото
Приложения:
Похожие вопросы
Предмет: Математика,
автор: Аноним
Предмет: Физика,
автор: Аноним
Предмет: Английский язык,
автор: nazarijzakrevskij
Предмет: Математика,
автор: Аноним
Предмет: Математика,
автор: Аноним