Предмет: Алгебра,
автор: nikitanaumov456
Пмогите, срочно, желательно прислать ответ в виде фото.
Приложения:
Ответы
Автор ответа:
1
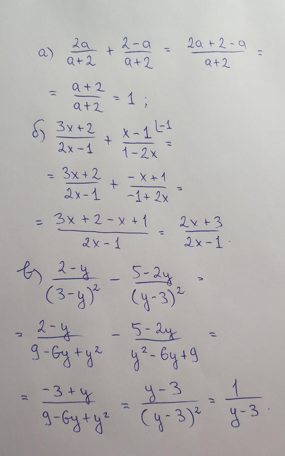
Ответ:
ответ на фотографии =)
Приложения:
nikitanaumov456:
Спасибо огромное
Не за что. Рад, что смог помочь =)
Похожие вопросы
Предмет: География,
автор: mariarosh09
Предмет: История,
автор: belokonsofia84
Предмет: Математика,
автор: albinamamatalieva122
Предмет: Информатика,
автор: фотострана786