Предмет: Алгебра,
автор: malaha352
Помогите пожалуйста решить!
Приложения:
Ответы
Автор ответа:
1
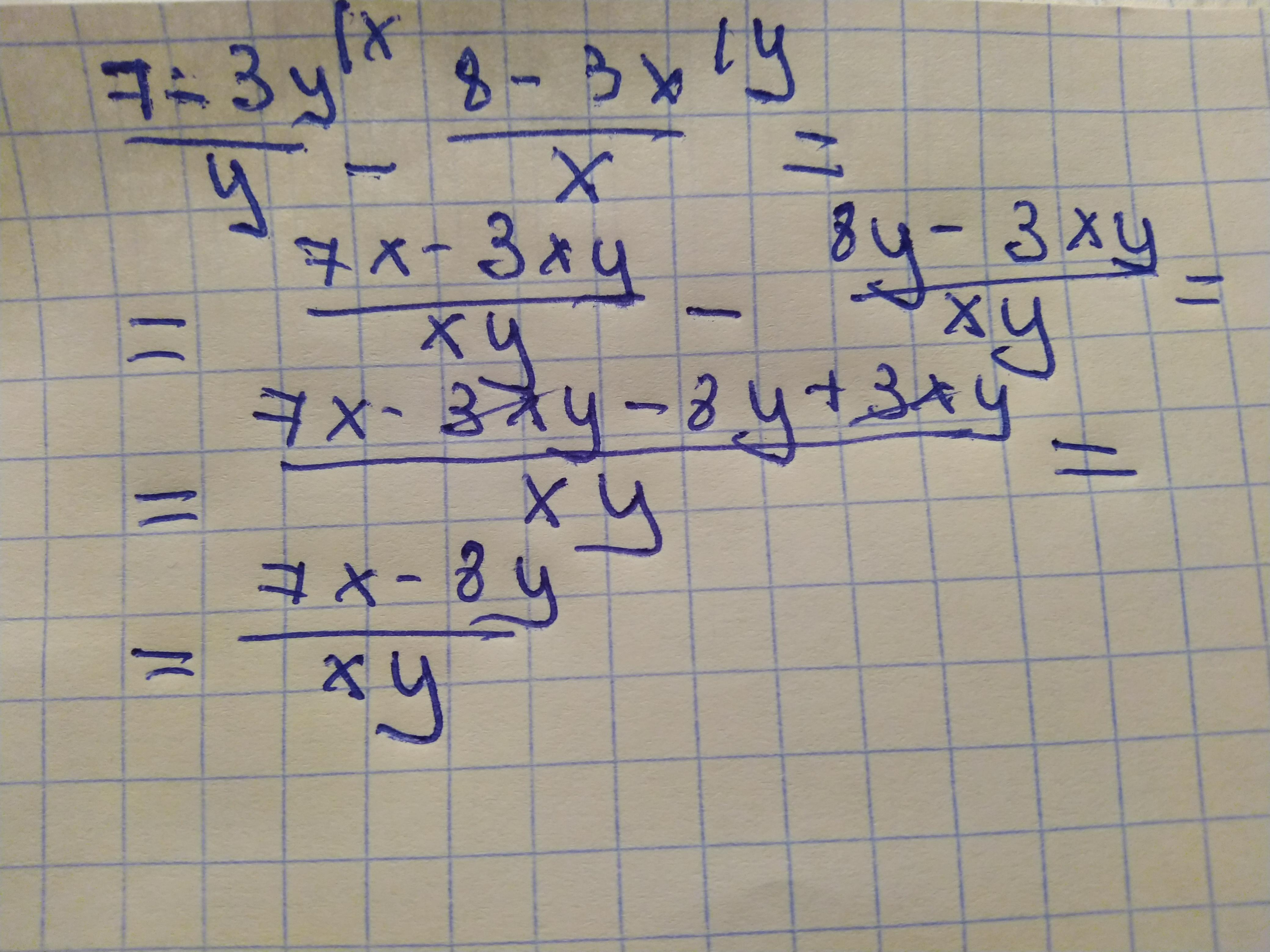
Объяснение:
держи, приложение очень хорошее, помогает в таких примерах очень хорошо ,так ещё и с объявлением
Приложения:
malaha352:
спасибо огромное!
приложение называется:Photomath
Автор ответа:
1
Первую дробь нужно домножить на x, а вторую на y, сложить знаменатели, а числитель оставить прежним, всё на фотке)
Приложения:
Похожие вопросы
Предмет: Математика,
автор: liobhva
Предмет: Математика,
автор: nasty6187
Предмет: География,
автор: vitaoleynik86
Предмет: Математика,
автор: Amirkozhaev1
Предмет: Литература,
автор: Аноним