Предмет: Математика,
автор: pelimeschka
Помогите пожалуйста найдите значение выражения дам 15 баллов
Приложения:
Ответы
Автор ответа:
1
Ответ:
Пошаговое объяснение:
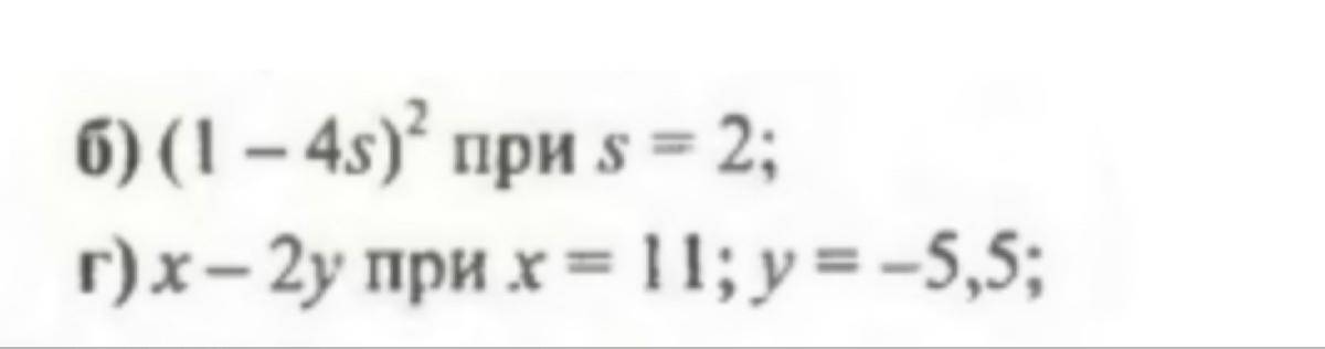
б)=(1-4*2)²=(-7)²=49
в)=11-2*(-5.5)=11+11=22
Автор ответа:
0
Ответ:
(1-4s)^2 при s=2
(1-4•2)^2=(-7)^2=49;
x-2y при х=11, у=-5,5
11-2•(-5,5)= 11+11=22
Пошаговое объяснение:
Похожие вопросы
Предмет: Физика,
автор: sasukenamebs
Предмет: Математика,
автор: nastagalaktionova000
Предмет: Математика,
автор: kykolka03091986
Предмет: Химия,
автор: AstridGhost
Предмет: Математика,
автор: Змееглав