Предмет: Алгебра, автор: littlelight

плиииз
5. Скоратите дробь
6. Представьте в виде дроби
7. Найдите значение выражения
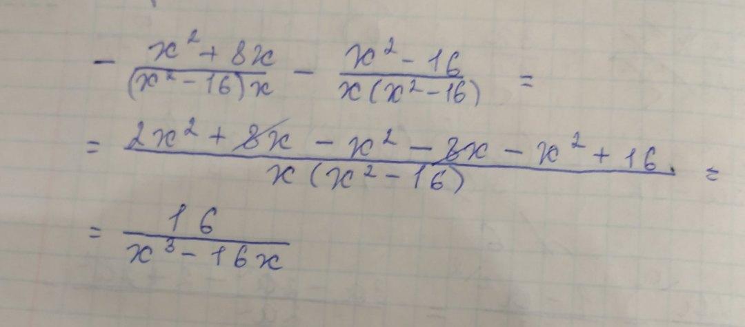
8. Упростить выражение​

Приложения:

Ответы

Автор ответа: shokkolate1
1

Ответ:

Надеюсь, что мой почерк понятен.                                                                                                                                                              

Объяснение:

Приложения:
Похожие вопросы
Предмет: Биология, автор: yt582i6
Предмет: Физика, автор: cmirnovaa31
Предмет: Алгебра, автор: ЧерныйS
Предмет: Математика, автор: марьямик31