Предмет: Геометрия,
автор: pomogi9895
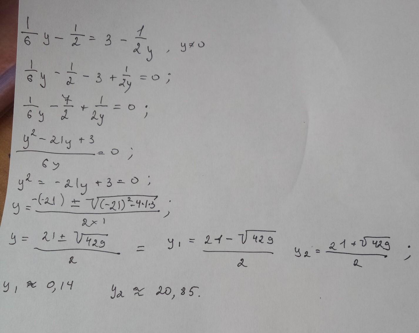
помогите пожалуйста
Приложения:
Ответы
Автор ответа:
1
МС Тарас на связи
Мы решаем вот так.)))
Приложения:
Похожие вопросы
Предмет: Українська мова,
автор: olefirdima438
Предмет: Математика,
автор: lotoadgadg
Предмет: ОБЖ,
автор: daliyapro
Предмет: Математика,
автор: 0512ь