Предмет: Математика,
автор: annativilina2004g55
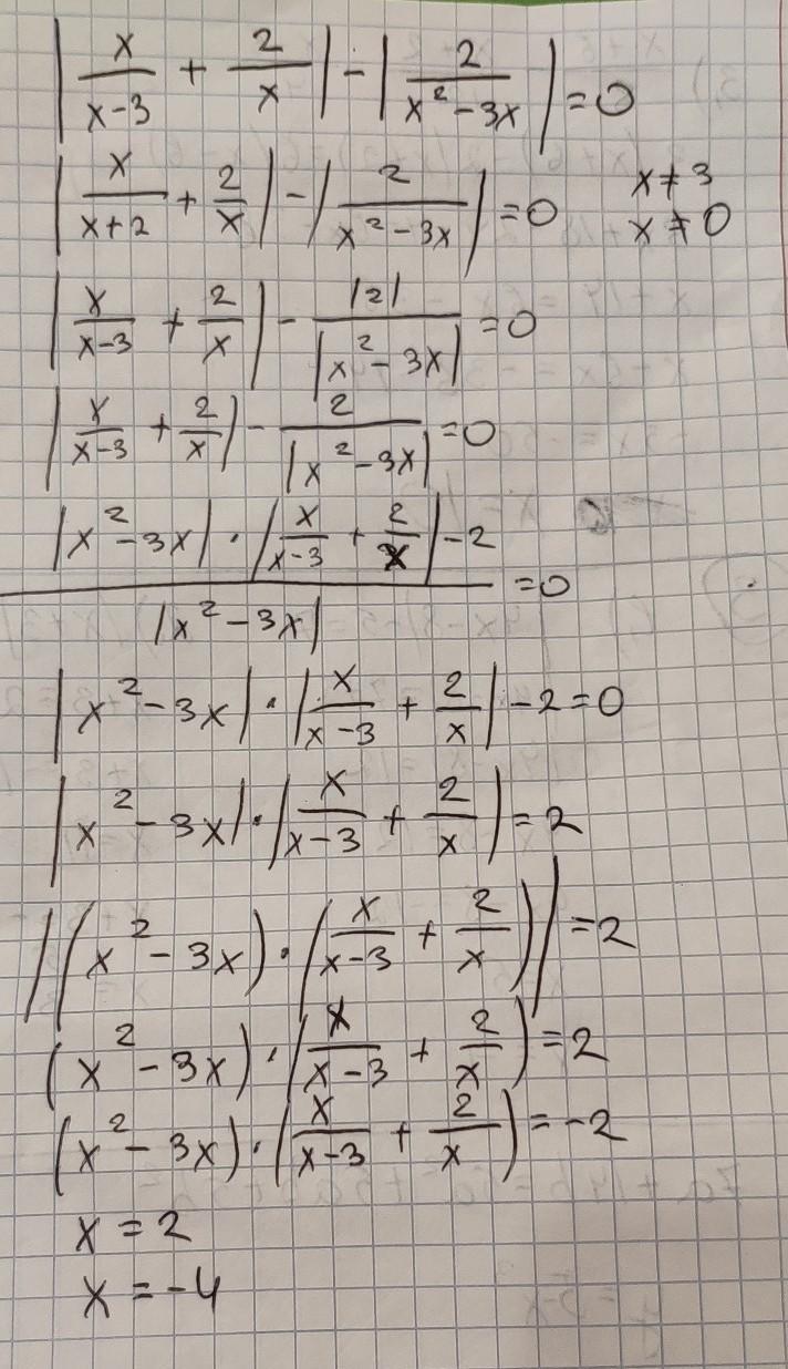
Решите пример пжлст !!!!
Приложения:
Ответы
Автор ответа:
1
Пошаговое объяснение:
...........................фото......
Приложения:
Похожие вопросы
Предмет: Алгебра,
автор: Tandrosova199
Предмет: Обществознание,
автор: cakni
Предмет: Литература,
автор: pasenkovnikita83
Предмет: Алгебра,
автор: AiMer11111
Предмет: Химия,
автор: Holllywood