Предмет: Алгебра,
автор: kiraaab
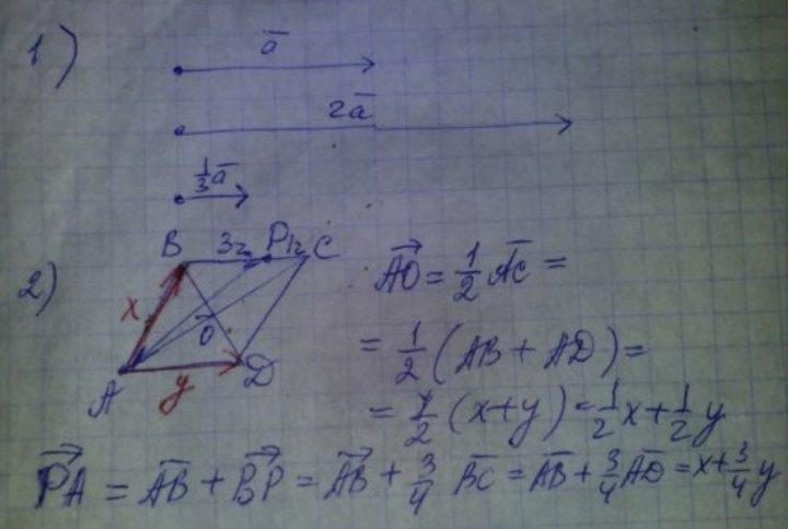
умножение вектора на число
помогите пожалуйста
Приложения:
Ответы
Автор ответа:
0
Ответ: лови)
Объяснение:
Приложения:
Аноним:
исправьте ошибки
Автор ответа:
0
Ответ и объяснение во вложении
Приложения:
Похожие вопросы
Предмет: Українська мова,
автор: ivankabonda
Предмет: Математика,
автор: angelinavas13102008
Предмет: Физика,
автор: mkenig14
Предмет: Литература,
автор: МышонокПик1
Предмет: История,
автор: алина2917