Предмет: Алгебра,
автор: kurashviliana6
Помогите!!! Срочно! Даю 10 баллов
Приложения:
Ответы
Автор ответа:
1
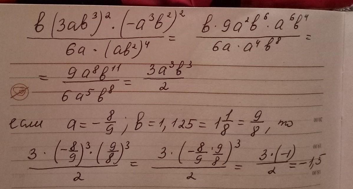
Ответ:
решение представлено на фото
Приложения:
kurashviliana6:
Большое спасибо!!!
Похожие вопросы
Предмет: Английский язык,
автор: bohdanpyliuiko
Предмет: Информатика,
автор: strunovegor3
Предмет: Математика,
автор: sagitovasamira333
Предмет: Химия,
автор: Аноним
Предмет: Химия,
автор: Kristik228