Предмет: Алгебра,
автор: milashka200246
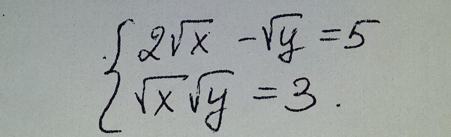
Помогите, пожалуйста решить систему уравнений, очень срочно)))))
Буду ооочень благодарна
Приложения:
Ответы
Автор ответа:
1
Ответ:
решение представлено на фото
Приложения:
milashka200246:
спасибо огромное
Похожие вопросы
Предмет: История,
автор: bladshotdeniska
Предмет: Биология,
автор: polliissss
Предмет: Алгебра,
автор: dymkovaadia
Предмет: Математика,
автор: melnikovaaliy
Предмет: Математика,
автор: Аноним