Предмет: Алгебра,
автор: UlyaMilano
Очень прошу!!!!
вычислите:
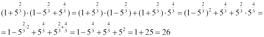
(1+5 в степени 2/3)*(1-5 в степени 2/3 + 5 в степени 4/3)
Ответы
Автор ответа:
0
Проверь на всякий случай.
Приложения:
Похожие вопросы
Предмет: Другие предметы,
автор: oborovalidia
Предмет: Математика,
автор: elkas83hhh
Предмет: Литература,
автор: asabajramov1
Предмет: Математика,
автор: пп22