Предмет: Алгебра,
автор: lakilaser
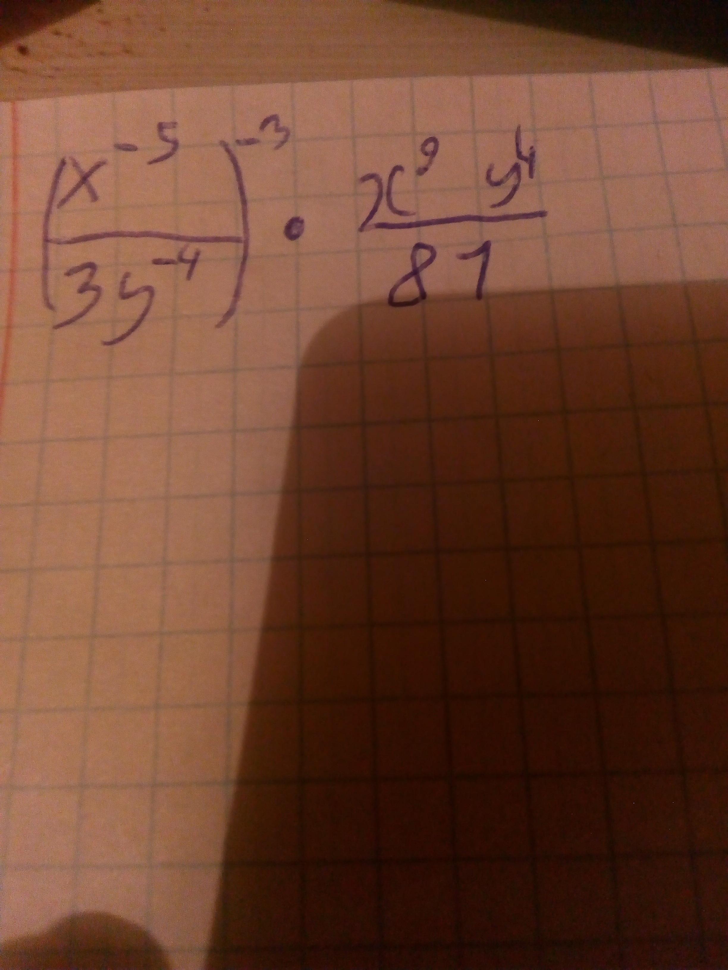
Упростить выражение помогите
Приложения:
Ответы
Автор ответа:
0
Ответ:
Объяснение:
Переменяй местами знаменатили и напиши обычное уравнение.
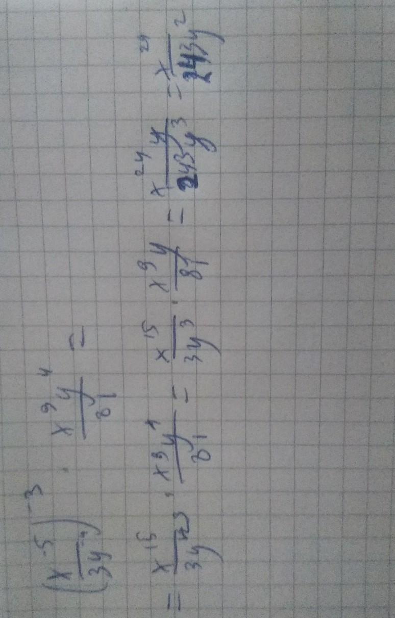
Автор ответа:
1
Объяснение:
надо сначало правильно открыть скобки.
если степени умножаются, то их значения суммируются
если степени делиться, то их значения вычитаються.
Приложения:
lakilaser:
Спс
Похожие вопросы
Предмет: Биология,
автор: Diana01135
Предмет: Українська мова,
автор: mahakar967
Предмет: Химия,
автор: ymnik20098
Предмет: Обществознание,
автор: АлинаБуладкина1207
Предмет: Литература,
автор: meganastyaway