Предмет: Алгебра,
автор: NikanikaVika
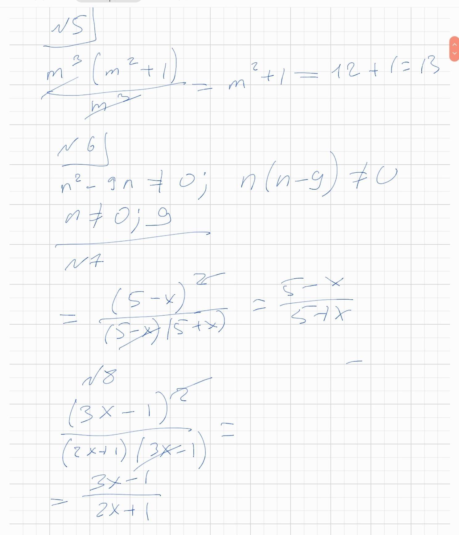
9 класс,помогите решить вариант 1 ,задания 5,6,7,8,9,10
Приложения:
Ответы
Автор ответа:
1
Ответ:
............................
Приложения:
Похожие вопросы
Предмет: Алгебра,
автор: bshlikeev
Предмет: Русский язык,
автор: bvladosssik
Предмет: История,
автор: sofkssofiya
Предмет: Математика,
автор: ninikogordu22