Предмет: Алгебра,
автор: lidatupichenko
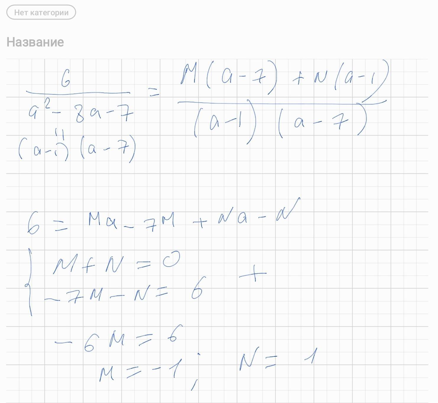
Срочно помогите пожалуйста! Найти числа М и N, чтобы выполнялось равенство
6/ а²-8а-7= М/а-1+N/а-7
Ответы
Автор ответа:
2
Ответ:
.............................
Приложения:
Похожие вопросы
Предмет: Русский язык,
автор: bvladosssik
Предмет: История,
автор: sofkssofiya
Предмет: Українська література,
автор: maxkovxz
Предмет: Физика,
автор: JaguaroV
Предмет: Алгебра,
автор: tarasova7