Предмет: Алгебра, автор: RozePac

Как сократить эти дроби, можно пожалуйста, срочно надо

Приложения:

Ответы

Автор ответа: zarinataygunova05
1

Ответ:

............................

Приложения:
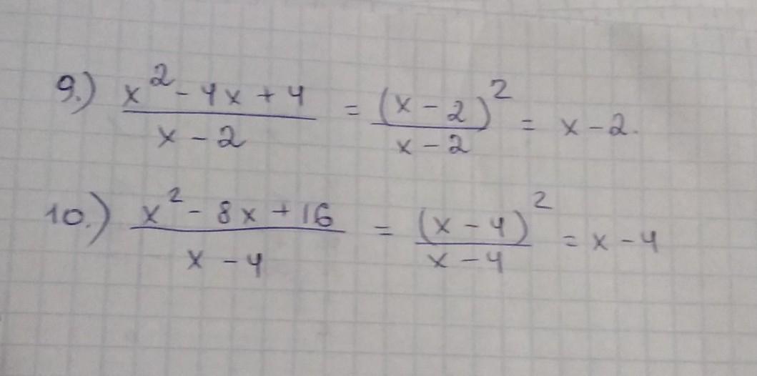
Автор ответа: Universalka
1

1)\frac{x^{3}+1 }{x+1}=\frac{(x+1)(x^{2}-x+1)}{x+1}=x^{2}-x+1\\\\2)\frac{x^{3}+8 }{x^{2}-2x+4 }=\frac{x^{3}+2^{3}}{x^{2}-2x+4}=\frac{(x+2)(x^{2}-2x+4)}{x^{2}-2x+4}=x+2\\\\3)\frac{x^{3}+8}{x+2}=\frac{(x+2)(x^{2}-2x+4)}{x+2}=x^{2}-2x+4\\\\4)\frac{x^{3}+27}{x+3}=\frac{x^{3}+3^{3}}{x+3}=\frac{(x+3)(x^{2}-3x+9)}{x+3}=x^{2}-3x+9

5)\frac{x^{3}+27}{x^{2}-3x+9 }=\frac{(x+3)(x^{2}-3x+9)}{x^{2}+3x+9}=x+3\\\\6)\frac{x^{2}-2x+1 }{x-1}=\frac{(x-1)^{2}}{x-1}=x-1\\\\7)\frac{x^{2}+2x+1 }{x+1}=\frac{(x+1)^{2}}{x+1}=x+1\\\\8)\frac{x^{2}+6x+9 }{x+3} =\frac{(x+3)^{2}}{x+3}=x+3

9)\frac{x^{2}-4x+4 }{x-2}=\frac{(x-2)^{2}}{x-2}= x-2\\\\10)\frac{x^{2}-8x+16 }{x-4}=\frac{(x-4)^{2}}{x-4}=x-4

Похожие вопросы
Предмет: Биология, автор: yanarutoy
Предмет: Математика, автор: батька28