Предмет: Математика,
автор: kaharovazuhra925
Решите пожалуйста уравнения номер 200
Приложения:
Ответы
Автор ответа:
2
Ответ:
3; 5
Пошаговое объяснение:
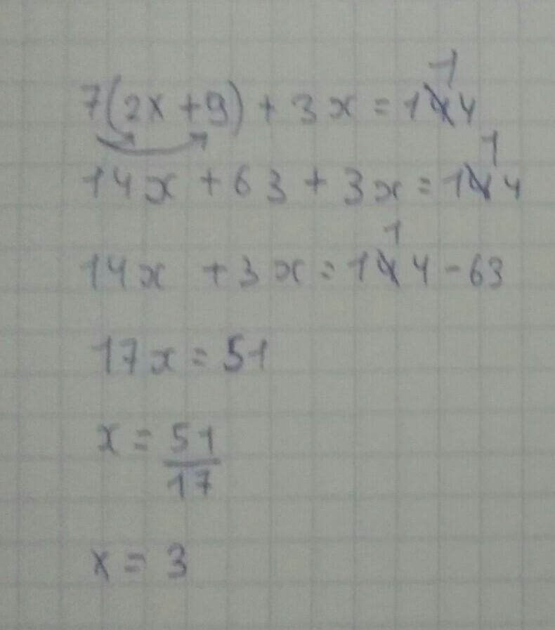
3) 7(2х+9)+3х=114
Раскрываем скобки:
14х+63+3х=114
(14х и 63 получились путем умножения 2 и 9 на 7)
14х+3х=114-63
Т. К. 63 переносится через знак = оно будет противоположным то-есть отрицательным)
17х=51
х=51:17
х= 3
Ответ: 3
4) 3(4х+13)-25=74
Делаем тоже самое:
12х+39-25=74
12х=74-39+25
12х=60
х=60:12
х=5
Ответ: 5
kaharovazuhra925:
Спасибо большое а я всё думала откуда берутся эти цифры
удачи
Автор ответа:
1
Корень первого уравнения равен 3.
Корень второго уравнения равен 5.
Приложения:
Похожие вопросы
Предмет: Английский язык,
автор: sjkaiuwiuahsj
Предмет: География,
автор: ithe92251
Предмет: Русский язык,
автор: Homyk19
Предмет: Математика,
автор: Аюбжан