Предмет: Алгебра,
автор: dcvvhh
Сделайте пожалуйста срочно нужно
Приложения:
Ответы
Автор ответа:
2
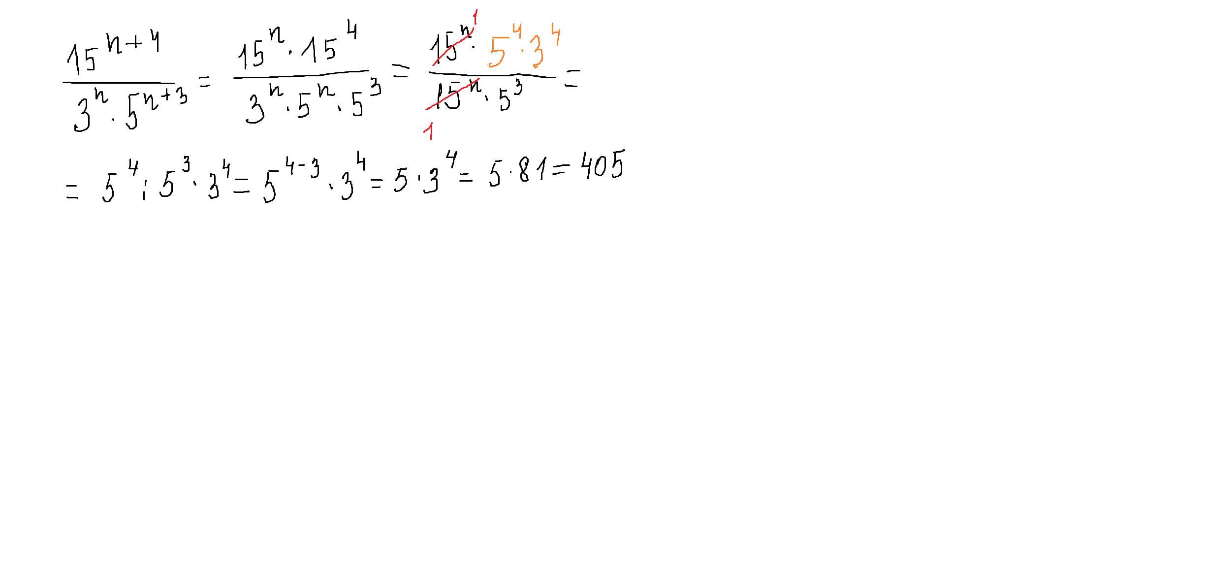
Ответ:
Объяснение:
решение смотри внизу
Приложения:
Похожие вопросы
Предмет: Английский язык,
автор: Аноним
Предмет: Математика,
автор: catsashom
Предмет: Математика,
автор: vladislavzasekov99
Предмет: Математика,
автор: дашуля1449
Предмет: Литература,
автор: Valery136