Предмет: Алгебра,
автор: pety111ok
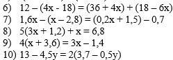
пожалуйста если не сложно решение
Приложения:
Ответы
Автор ответа:
1
Ответ:
Объяснение:
Ну как-то так) надеюсь, что все понятно
Приложения:
pety111ok:
почему так збс спс бро
Похожие вопросы
Предмет: Литература,
автор: aleks1student
Предмет: Алгебра,
автор: nastymi33
Предмет: Математика,
автор: balkeseryankristina
Предмет: Литература,
автор: лизамамабабушка
Предмет: Математика,
автор: АвгустМилый