Предмет: Алгебра, автор: GNN666

решить уравнение
1) x³-4x²+x+6=0
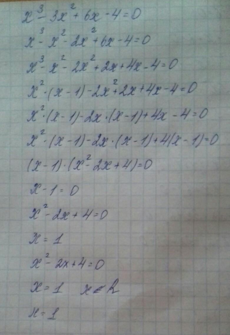
2) x³-3x²+6x-4=0

Ответы

Автор ответа: keinelust1
1

Ответ:

Ну, как-то так, штоли)

Приложения:

GNN666: а откуда 5x²
keinelust1: это -4х^2 в виде разности
Похожие вопросы
Предмет: Алгебра, автор: sxcccxs4