Предмет: Математика,
автор: stetcenko87
два любых варианта, кроме 2го
срочно, пожалуйста
Приложения:
rusfiz:
где условие?
выше добавила
Ответы
Автор ответа:
0
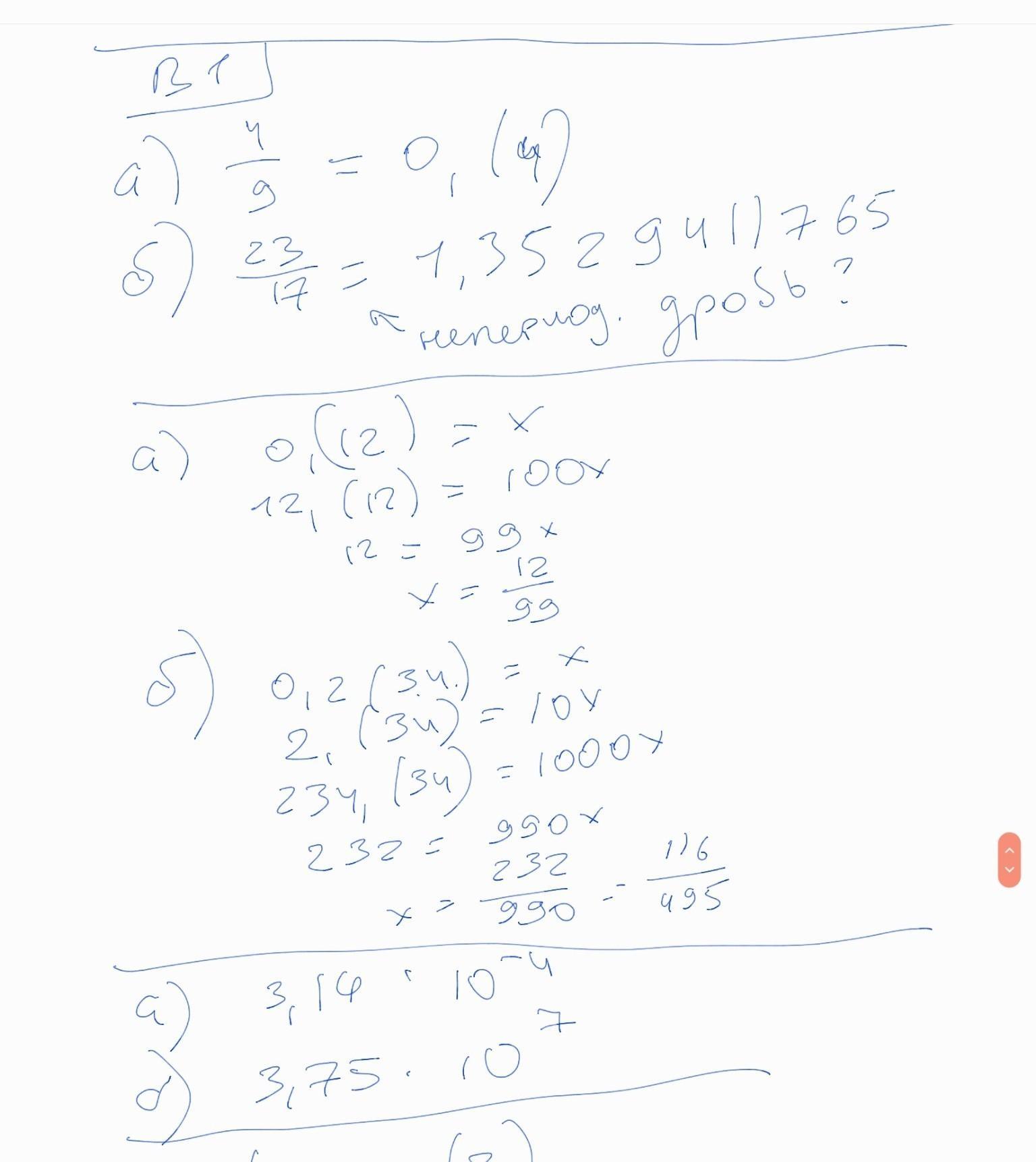
Ответ:
...................
Приложения:
Похожие вопросы
Предмет: Математика,
автор: dmitrienkosofia131
Предмет: Физика,
автор: darynatk2018
Предмет: Математика,
автор: 00Anya
Предмет: Математика,
автор: Каринка1104
Предмет: Биология,
автор: VeronaNIGHT