Предмет: Алгебра,
автор: dullar
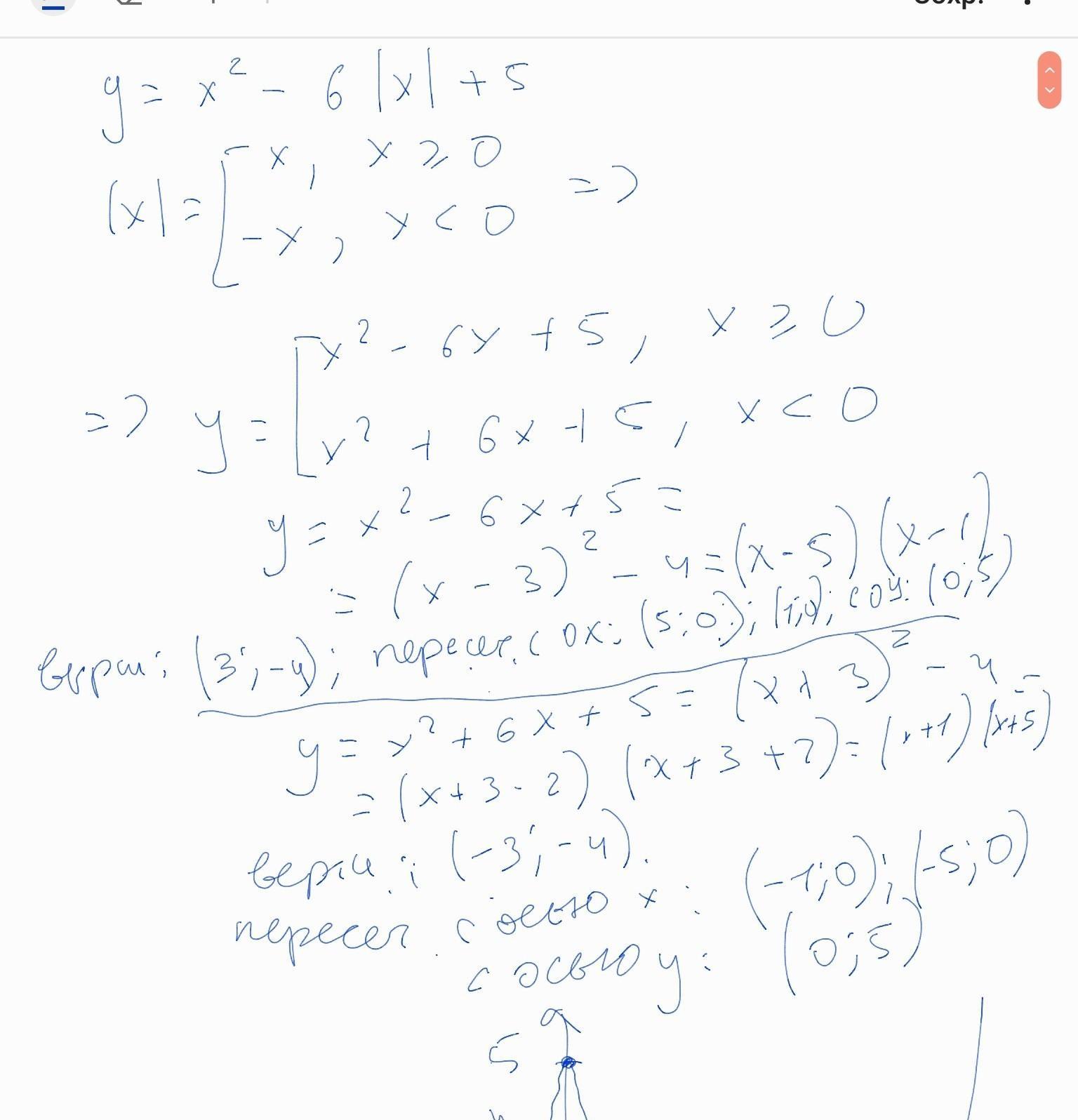
построить график функции y=x^2-6|x|+5
желательно без копирки других ответов и с более менее понятным решением
Ответы
Автор ответа:
0
Ответ:
...................................
Приложения:
Похожие вопросы
Предмет: География,
автор: oluskakravcenko
Предмет: Биология,
автор: myskinaanuta
Предмет: Геометрия,
автор: incognito3352
Предмет: Математика,
автор: andrianovaeb
Предмет: История,
автор: ngolysheva2017