Предмет: Алгебра,
автор: marganmagomedova
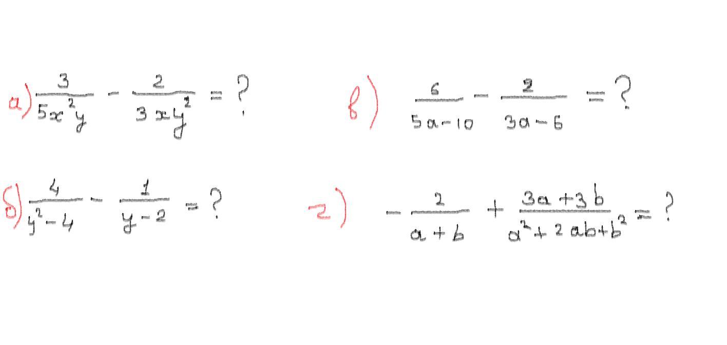
Плииз прошу срочно даю 14б пжжж
Приложения:
Ответы
Автор ответа:
0
Ответ:
Вот 1 задача
Объяснение:
☺️☺️☺️☺️☺️☺️☺️☺️☺️☺️☺️☺️☺️
Приложения:
Похожие вопросы
Предмет: Русский язык,
автор: Аноним
Предмет: Английский язык,
автор: narimanovamadina
Предмет: История,
автор: karlinvolid
Предмет: Математика,
автор: ДимаКралин1
Предмет: Математика,
автор: romashca821226