Предмет: Алгебра,
автор: cashs70
помогите пожалуйста чем 20 минут выходить
Приложения:
Ответы
Автор ответа:
1
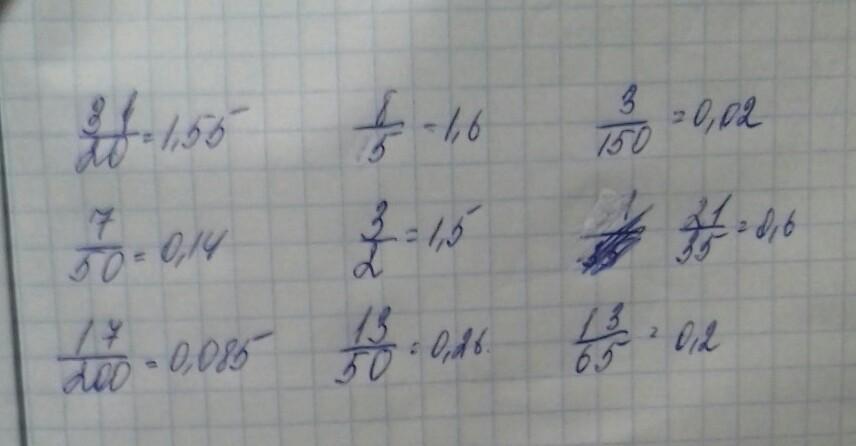
Ответ:
Просто нужно числитель делить на знаменатель
Приложения:
Похожие вопросы
Предмет: Математика,
автор: solovevamilana041
Предмет: Литература,
автор: ayazhanmam38Ayazhan
Предмет: Другие предметы,
автор: 30031985aa
Предмет: Обществознание,
автор: mrroslov2000
Предмет: Биология,
автор: 06ramzil